

L10表示一批風扇從開始運轉到10%失效所經歷的時間。
MTTF(Mean time to fail)表示風扇從開始運轉到失效所經歷的平均時間。
不同廠家、不同客戶可以按照自己的實際情況自定“失效判定標準”。
我司標準只要符合以下任一一種情況,則判定該風扇失效:
a.電流高于初始值15%
b.轉速低于初始值85%
c.噪音高于初始值5dBA
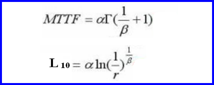
其中:
r為可信度,在L10的計算公式中取值為:r=1-0.1=0.9
β為Weibull分布曲線的形狀參數,我司取值β=1.1,預測的準確性與β取值密切相關。
由此公式可計算出:MTTF/L10=7.46(通常簡易計算下MTTF≈7*L10)
t=1.036×MTTF×[(Br;c)÷n]0.91÷AF
↓
MTTF=t/{1.036×[(Br;c)÷n]0.91÷AF}
其中:
t:在試驗應力條件下,測試樣品需要測試的時間
MTTF:L10×7,L10為提供給客戶的承認書標示的壽命值
(Br;c):泊松分布常數,取值為2.3025
n:試驗樣本數
AF:加速因子
由上述公式并結合正式的試驗時間t,即可科學的計算一盟風扇壽命。
附:
測試步驟:
1.準備一定數量n的風扇樣品,編號后進行初始電流、初始轉速和初始噪音的測試。
2.將風扇并聯后按照原理圖所示接好各設備,調整好輸出電壓,調整好高溫箱的溫度。
3.通電后開始計時,觀察風扇的總電流值,當風扇總電流值基本穩定后記下該值。
4.每隔500小時對全部風扇進行測試,具體包括:
(1)風扇噪音測試
(2)轉速測試
(3)電流測試
5.試驗中止:
a、10%樣品失效
b、試驗時間遠大于壽命試驗所需時間
6.壽命測試結束后,按照公式計算出風扇的壽命值(如MTTF和L10)。

